3456

Peri-tumoural lipid composition mapping of the breast for early response to neoadjuvant chemotherapy using chemical shift-encoded imaging
Sai Man Cheung1, Kwok-Shing Chan2, Nicholas Senn1, Ravi Sharma3, Trevor McGoldrick3, Tanja Gagliardi1,4, Ehab Husain5, Yazan Masannat6, and Jiabao He1,7
1Institute of Medical Sciences, University of Aberdeen, Aberdeen, United Kingdom, 2Donders Institute for Brain, Cognition and Behaviour, Radboud University, Nijmegen, Netherlands, 3Department of Oncology, Aberdeen Royal Infirmary, Aberdeen, United Kingdom, 4Department of Radiology, Royal Marsden Hospital, London, United Kingdom, 5Department of Pathology, Aberdeen Royal Infirmary, Aberdeen, United Kingdom, 6Breast Unit, Aberdeen Royal Infirmary, Aberdeen, United Kingdom, 7Translational and Clinical Research Institute, Newcastle University, Aberdeen, United Kingdom

Synopsis

Keywords: Breast, Fat

Peri-tumoural lipid composition plays a major role in the disease progression of breast cancer, and novel chemical shift-encoded imaging (CSEI) allows rapid lipid mapping of the whole breast. We have previously observed an imbalance of peri-tumoural lipid composition in postmenopausal women with breast cancer using CSEI. Monitoring of lipid composition for early sign of tumour regression might be crucial for an accurate differentiation of patients responding to neoadjuvant chemotherapy (NACT). We hence set out to elucidate the longitudinal change in lipid composition in the peri-tumoural region and the whole breast in patients with breast cancer using CSEI.

Introduction

Breast cancer is the most common cancer among women, with age-adjusted annual incidence of 205 per 100,0001. An imbalance of monounsaturated, polyunsaturated and saturated fatty acids (MUFA, PUFA, SFA) has been shown in the peri-tumoural adipose tissue adjacent to breast tumour2. Novel chemical shift-encoded imaging (CSEI) provides a rapid and accurate mapping of lipid composition in the whole breast, and may serve response monitoring of neoadjuvant chemotherapy (NACT) for stratified treatment to minimise unnecessary side effects. We therefore hypothesise that there might be a difference in lipid composition in the peri-tumoural region and the whole breast between good and poor responders after one cycle of NACT.

Methods

Seventeen patients (age 46 – 58 years) with invasive ductal carcinoma participated in the longitudinal study to undertake MRI scan before (Pre-NACT) and after one cycle of NACT (Early-NACT). Patients with a tumour size larger than 2 cm on mammography and have not had hormonal therapy prior to chemotherapy were eligible. Miller-Payne system was used to assess pathologic complete response for good responder3. The study was approved by the London Research Ethics Committee (Reference ID: 17/LO/1777), and written informed consents were obtained from all the participants (Figure 1).

Lipid Composition Mapping
All images were acquired on a 3 T whole-body clinical MRI scanner (Achieva TX, Philips Healthcare, Best, Netherlands). Lipid composition images were acquired from the diseased breast in all participants using a 2D CSEI sequence4,5 with 48 echoes, initial echo time of 1.14 ms, echo spacing of 1.14 ms, repetition time of 60 ms, flip angle of 20°, reconstruction matrix of 96 × 96, reconstruction voxel size of 2.5 × 2.5 mm and slice thickness of 5 mm.

Data Processing
Image analysis was conducted in MATLAB (R2020a, MathWorks Inc., Natick, MA, USA) and ImageJ (v1.52p, NIH, Bethesda, MD, USA). The maps of the number of double bonds in triglycerides were computed from raw data, before subsequent calculation of quantitative maps of MUFA, PUFA and SFA as a percentage of the total amount of lipids4,5. The boundary of tumour was delineated on the first echo of lipid composition images, with reference to anatomical and diffusion weighted images. The peri-tumoural region was defined as a growth of 15 mm (6 voxels) concentric ring surrounding the tumour boundary (peri). The whole breast was defined to contain only adipose and fibroglandular tissue, and excluding the tumour (whbr). Chest cavity and subcutaneous fat were removed from image analysis in all participants. Adipose voxels with lipid signal over 60% of total signal were extracted from lipid composition maps. The mean lipid composition from the regions-of-interest was subsequently computed for each lipid constituent. Percentage change in lipid composition was calculated as: [Early-NACT – Pre-NACT] / Pre-NACT × 100(%).

Statistical Analysis
All statistical analysis was performed in the R software (v3.6.3, R Foundation for Statistical Computing, Vienna, Austria). Wilcoxon signed rank paired tests were performed for comparison of lipid composition in the peri-tumoural region and the whole breast between pre-NACT and Early-NACT in all participants. Wilcoxon rank sum tests were performed for comparison of percentage change in lipid composition between good and poor responders. Statistical significant finding was determined by p < 0.05.

Results

The histopathological findings of the patient cohort are shown in Table 1.

Comparison between Pre-NACT and Early-NACT
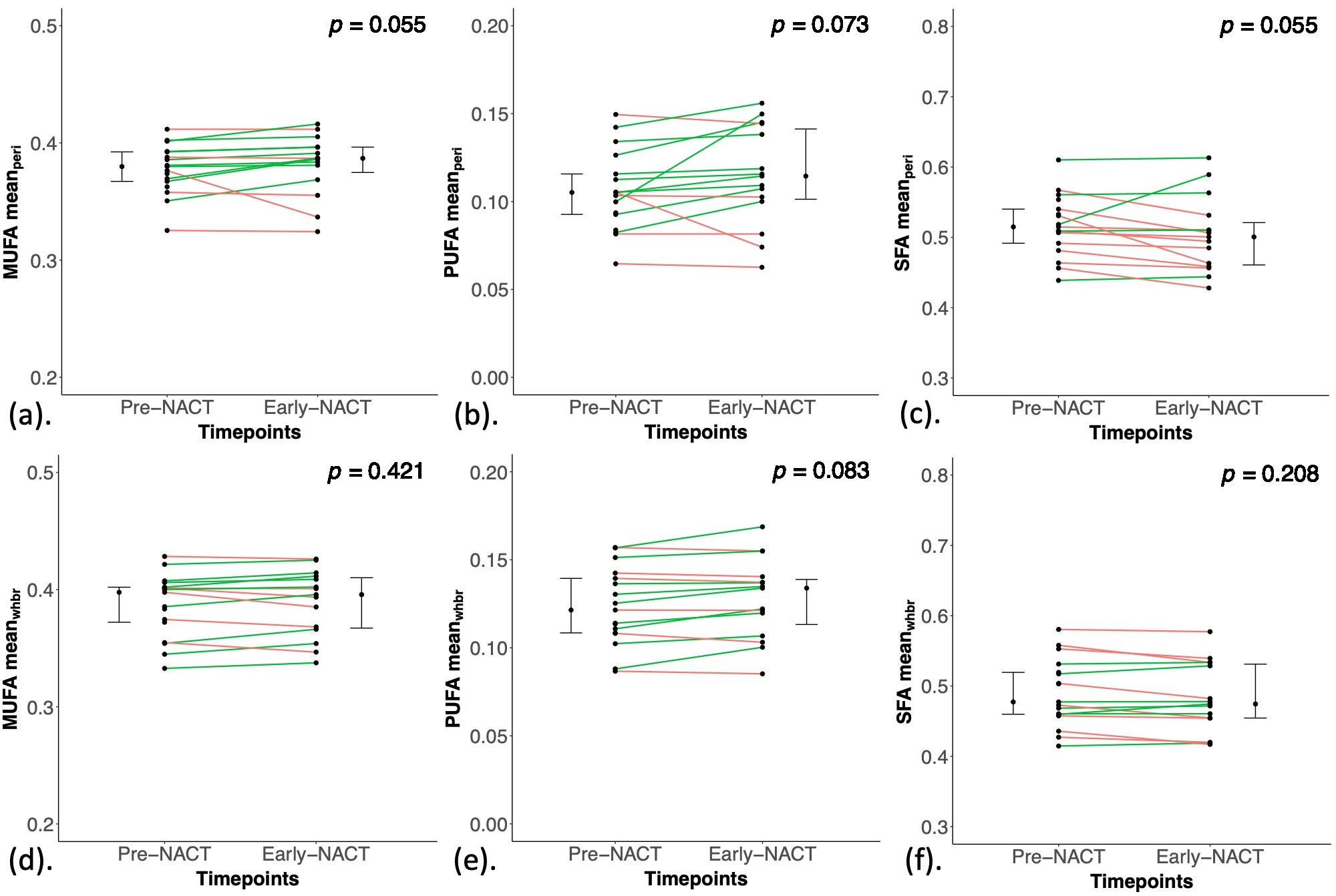
In the peri-tumoural region, there was a borderline higher mean MUFA (p = 0.055) at Early-NACT (median (IQR): 0.39 (0.37 – 0.40)) compared to Pre-NACT (0.38 (0.36 – 0.39)). There was no significant difference (p = 0.073) in mean PUFA between Pre-NACT (0.11 (0.09 – 0.12)) and Early-NACT (0.11 (0.10 – 0.14)). There was a borderline lower mean SFA (p = 0.055) at Early-NACT (0.50 (0.46 – 0.52)) compared to Pre-NACT (0.51 (0.49 – 0.54)) (Figure 2).

In the whole breast, there were no significant differences in lipid composition between Pre-NACT and Early-NACT (Figure 2).

Comparison between good and poor responders
There were no significant differences in percentage change in lipid composition in the peri-tumoural region and the whole breast between good and poor responders after one cycle of NACT (Figure 3, Table 2).

Discussion

There was a decrease in MUFA in the peri-tumoural region to sustain elevated tumour lipid membrane synthesis during breast cancer progression2, hence the increase in MUFA after one cycle of NACT showed subsequent treatment induced normalisation. On the contrary, there was an increase in SFA in the peri-tumoural region to avoid lipotoxicity for enhanced tumour proliferation2, and the decrease in SFA subsequent to NACT showed active tumour regression. The alternation in peri-tumoural lipid composition showed lipid mapping might offer an accurate early monitoring tool for differentiation of patient response to NACT. There were no significant differences in the percentage change in lipid composition between good and poor responders. However, the cohort size is small and further studies are warranted to unravel lipid regulation during tumour regression and subsequent treatment induced normalisation in patients with breast cancer receiving NACT.

Conclusion

There was a treatment induced lipid normalisation after one cycle of neoadjuvant chemotherapy, although there were no significant differences in percentage change in lipid composition in the breast between good and poor responders.

Acknowledgements

The authors would like to thank Dr Matthew Clemence (Philips Healthcare Clinical Science, UK) for clinical scientist support, Ms Erica Banks and Ms Alison McKay for patient recruitment support, Ms Teresa Morris and Ms Dawn Younie for logistics support, and Ms Beverly MacLennan, Ms Nichola Crouch, Ms Laura Reid and Mr Mike Hendry for radiographer support. The authors would also like to thank Ms Mairi Fuller, Mr Dionysios Koufoudakis, Ms Elizabeth Smyth and Ms Beatrix Elsberger for providing access to the patients. This project was funded by Friends of Aberdeen and North Centre for Haematology, Oncology and Radiotherapy (ANCHOR), NHS Grampian Endowment Research Fund and Tenovus Scotland. Sai Man Cheung’s PhD study was jointly supported by Elphinstone scholarship, Roland Sutton Academic Trust and John Mallard scholarship, and his research fellow training is currently funded by Chief Scientist Office.

References

1. Smittenaar CR, Petersen KA, Stewart K, Moitt N. Cancer incidence and mortality projections in the UK until 2035. Br J Cancer. 2016;115(9):1147-1155.

2. Chan KS, Cheung SM, Senn N, et al. Peri-tumoural spatial distribution of lipid composition and tubule formation in breast cancer. BMC Cancer. 2022;22(1):285-022-09362-1.

3. Ogston KN, Miller ID, Payne S, et al. A new histological grading system to assess response of breast cancers to primary chemotherapy: Prognostic significance and survival. Breast. 2003;12(5):320-327.

4. Bydder M, Girard O, Hamilton G. Mapping the double bonds in triglycerides. Magn Reson Imaging. 2011;29(8):1041-1046.

5. Peterson P, Månsson S. Simultaneous quantification of fat content and fatty acid composition using MR imaging. Magn Reson Med. 2013;69(3):688-697.

Figures

Figure 1. Study design

Seventeen patients with breast cancer participated in the study. All patients underwent chemical shift-encoded imaging on a clinical 3 T MRI scanner before neoadjuvant chemotherapy (Pre-NACT) and after one cycle of NACT (Early-NACT). Fat mapping image analysis was conducted to compute monounsaturated fatty acids (MUFA), polyunsaturated FA (PUFA) and saturated FA (SFA) in the peri-tumoural region (peri) and the whole breast (whbr). Wilcoxon tests were subsequently performed between the time points and responder groups.


Figure 2. Longitudinal change in lipid composition measurements

The longitudinal change in monounsaturated fatty acids (MUFA), polyunsaturated FA (PUFA) and saturated FA (SFA) in (a-c) the peri-tumoural region (peri) and (d-f) the whole breast before neoadjuvant chemotherapy (Pre-NACT) and after one cycle of NACT (Early-NACT). Each dot represents a peri-tumoural or whole breast mean fraction, and the dots are organised in two columns corresponding to the two time points. Error bars indicate the median (interquartile range).


Figure 3. Differences in lipid composition measurements between good and poor responders in the peri-tumoural region and the whole breast

The percentage change after one cycle of NACT (Δ% Early-NACT) in monounsaturated fatty acids (MUFA), polyunsaturated FA (PUFA) and saturated FA (SFA) in (a-c) the peri-tumoural region (peri) and (d-f) the whole breast (whbr) between good and poor responders. Error bars indicate the median (interquartile range).


Table 1. Tumour histology in the cancer patient group

Histopathological findings for patients with breast cancer are shown, with quantitative entries expressed as mean and standard deviation (mean ± SD) and qualitative entries expressed as number of positive observations.


Table 2. Differences in lipid composition measurements between good and poor responders at Early-NACT

Percentage change in peri-tumoural and whole breast monounsaturated, polyunsaturated and saturated fatty acids (MUFA, PUFA, SFA) after one cycle of neoadjuvant chemotherapy (Early-NACT) were compared between good and poor responders.


Proc. Intl. Soc. Mag. Reson. Med. 31 (2023)
3456
DOI: https://doi.org/10.58530/2023/3456